By

Published on

I Advocated For My Child’s Rights in NYC School. And Then CPS Was Used As A Weapon.

My son and I when he was just a toddler.

When I disagreed with the NYC school special education classification and evaluation of my son at the initial eligibility meeting in June 2016, I never thought that it would lead to a pattern of escalation, harassment, and retaliation by the NYC school district. I just thought I was being a parent and advocating for what I believed was right for my son. I never imagined being faced with Child Protective Services (CPS) Investigations and dealing with brutal and aggressive violations of my parental rights. As a parent, I began to advocate on my minor’s behalf. I made decisions, such as homeschooling, to remove him from a destructive school environment affecting his emotional, physical, and mental well-being. Yet, my decision to homeschool and protect my child from a toxic school environment has been met with criticism, judgment, and disdain. Homeschooling saved my son’s life when the discriminative and abusive actions of the NYC school system led to a psychological bullying diagnosis. The City Department of Education altered my child’s educational records, misrepresented educational records, and kept information from me relevant to the prevention of the Child Protective Services (CPS) proceeding, which contained information I relied on, unaware it was misleading. They then used the Administration for Children Services (ACS) also known as CPS, to wrongfully remove my child from my custody. The right for parental involvement in the care, upbringing, and education of their children is a right afforded to parents in the Fourteenth Amendment, and the gross injuries and severe violations I have faced to my parental rights threaten the foundation and sanctity of life in which the amendment was built.

When I sat with the NYC school special education staff of P.S. 83 in Manhattan, New York, on June 23, 2016, I expressed that I disagreed with the classification of speech and language impairment. While at the eligibility meeting, I never received any documents relating to my son’s psycho-educational evaluation or speech evaluation. All there was was verbal communication of the conducted evaluation. As a new parent in the special education process, I did not know it was improper not to have received the psycho-educational evaluation report, a copy of the Individualized Education Program (IEP), and the speech and language evaluation results. In fact, I was informed that the IEP would not be released due to my disagreement with the classification and evaluation. I asked the P.S 83 psychologist Llana Sitkoff for a copy of the speech evaluation results, and she said “it was not available yet.” The next day, on June 24, 2016, after speaking to the speech evaluator, Tim Eagle, I gave the school a two-page letter explaining why I disagreed with the special education classification. 

Allegations of Misbehavior, Coercion, and Harassment

In April 2017, my son was accused of pushing another child, and he was so horrified by the accusation that the very next day, I called the school and spoke to his teacher and she told me everything was resolved because two children spoke up in my son’s defense. About two weeks later, I received a call from P.S. 83 Principal Frances Castillo, who wanted to schedule a meeting with me because my son was misbehaving in school. At the meeting, Principal Castillo expressed that my child was demonstrating odd behavioral problems, like hiding underneath the school desk and eating the lead from mechanical pencils. I was flabbergasted because I had never seen my son behaving this way.

Eventually, I requested my child’s educational records from The Committee on Special Education (CSE) and received them. I provided a copy of the certified letter to PS 83 Principal Frances Castillo and received it from the parent coordinator, Selina Melendez. In the documents, I saw a copy of my son’s IEP for the very first time and an additional copy of the special education case closing letter. I immediately called Principal Frances Castillo and inquired about the presence of the IEP. Principal Castillo stated that the IEP was “null and void” and referred me to the case closing letter in the educational documents as confirmation that my son’s special education case was closed. After speaking with Principal Frances Castillo, I felt relieved because she is the school’s Principal, and I believed everything she said to be true.

The case closing letter Principal Frances Castillo gave me on June 20, 2017, led me to believe the special education case was closed.

Things did not improve when the new school year began. By this point, my son started to cry about going to school. His whole demeanor would change as we walked to school, and he would tell me “he did not want to be in school,” which was unlike him. There was a time he got kicked on the head three times by a classmate, was denied access to the restroom that he almost defecated on himself, and was not given the same education opportunities as other children because when he would ask for help, it would be denied to him. He was being micro-managed the whole day because I was given a letter from a school employee with an itinerary list of my son’s actions throughout day. I didn’t think that was normal because it was like my child was being watched, so I decided it was best to remove my son from PS 83.

A school staff gave me this letter in September 2017, claiming my son’s actions like an itinerary.

I visited the NYC Enrollment Welcome Center four times before my child was approved for a new school. In an attempt to get my son’s whereabouts, the school psychologist spoke with the parent coordinator, Selina Melendez. When speaking with the psychologist, Selina Melendez provided incorrect information, which led the psychologist to make an intake report call to ACS. Mrs. Melendez should have known she was giving misinformation because Mrs. Melendez and I had communicated over the phone and email prior to her speaking with the school psychologist. My son missed five days of school when I was informed that I had an ACS investigation for educational neglect, although the ACS connections stage summary shows he missed 13 days.

The progress notes ACS/CPS used to report every interaction they had with my son and me. I took my son to outpatient counseling for about two years as recommended by a psychiatrist due to the psychological bullying. One thing I learned while taking my son to counseling is that there are dispositional and situational behaviors. And I knew my son did not behave the way they were alleging him to be.

My son’s time at PS 155 was short-lived because two days after enrollment, educators at my son’s new school sent him in an ambulance requesting a psychological evaluation, claiming that he had attempted to kill himself while playing with the strings of his hoodie sweater. While at the hospital, my son was seen by several psychiatrists. The school had told ACS/CPS my son was bused to the hospital because ACS/CPS had called the hospital to confirm my son was there.

The hospital letter I received where I was told my son was a victim of psychological bullying at school.

The PS 155 social worker told me that I was medically neglecting my son if I did not allow him to get a psychological evaluation. After evaluating my son, he was discharged from the hospital the same day, and the doctor concluded that there was no need to admit him and provided me with the above two letters to give to the school stating that “There appears to be significant bullying in school which is affecting his mood and behavior. Our recommendation is that the school investigate further into this concern.” In a home visit the ACS worker had informed me that the PS 83 staff had made parental decisions without my knowledge and consent because school staff had held secret IEP meetings and had secretly revised my son’s IEP. This shocked me because I had received a special education case closing letter.

Immediately after the ACS worker’s home visit, I went to the PS 155 psychologist’s office and demanded to know the status of my son’s special education case. The school’s psychologist finally informed me that my son’s special education case was open and active. A few weeks later, educators called another ambulance for a second psychological evaluation due to my son’s refusal to stay at school. While at the hospital, my son was seen by another psychiatrist who expressed that my son was experiencing behavior symptoms to being in school and provided me with a second letter to give to the school and requested for my child to receive outpatient counseling services. While in school my son was isolated from the rest of his classmates and through a request I made from an agency I later discovered my son was micromanaged at PS 155, as educational records illustrated my son’s actions, like an itinerary for a six weeks of school .

Since my son was not receiving access to learning instruction and feared staying in school, which he never suffered from the previous year, how could I keep him in a school environment that was causing him severe emotional and psychological harm?

With enormous fear, after communicating with the CPS/ACS worker,  I discharged my child from school and went to the City Department of Education Central Office of Homeschooling and applied for homeschool instruction. During this period, CPS/ACS would visit my home bi-weekly and sit with my son and me separately. I later found out that CPS/ACS had indicated their allegations against me. The one ACS allegation for educational neglect turned into three substantiated CPS/ACS allegations for educational neglect, medical neglect, and inadequate guardianship. I had to allow my son to sit with CPS/ACS alone and take him to see and sit with the child’s attorney alone, not knowing if that would be the last time I would see him. Fear plays a huge part when a parent is afraid they could lose their child, but thankfully, the child’s attorney returned with my son. As she walked with my son, she turned to me and said my son “is a future engineer” because she informed me that she provided him with wooden building blocks while she spoke to him, and he was able to construct several architectures. Finally, after eighteen months of agonizing CPS/ACS home visits and court visits, the child’s attorney and my attorney petitioned for my case to be dismissed.  

This is the Family Court Order of Dismissal, which shows the Article X petition was dismissed by ACS/CPS in January 2019. This does not include the Administrative hearing I had to attend with the State in the hopes of clearing my name, which took an additional six months.

Six months after the dismissal the CPS/ACS Article X family court proceeding against me, I was in court again because CPS held am inconspicuous hearing. I thought my nightmare was over, but I had to appear in court again but at the Suffolk County Family Court in Long Island. This time, I was accused of abusing my son through corporal punishment. My son was removed from my custody before this new family court case proceeding began, so I was not even afforded and provided with my right to due process.

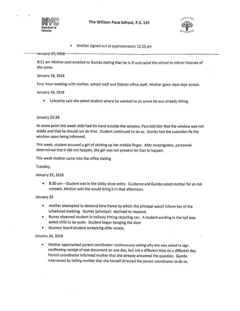
I was background tested and scrutinized for eighteen months. It took ACS eighteen months to complete their investigation before dismissing their case against me. My son was questioned alone several times by four different ACS/CPS workers, the child’s attorney, and two hospital psychiatrists. I also had to take my son to weekly outpatient therapy sessions, which lasted 45 minutes for about two years. We’re talking about a combination of twelve different people, and over 120 times, my son had to sit with someone alone without my presence. He was questioned about my parenting, and each time, my son was kept in my custody, as he should have. But now I get accused of corporal punishment? These new allegations are not only false, but they are completely trumped up. How could the New York City school have so much power and freedom to cause dishevelment, desperation, and traumatize my family’s life?

Discover Eventure 2025

An event for curious minds committed to the planet. Engineers, designers, educators, biologists, technologists, artists, city-makers, and activists — all working at the intersection of nature, science, and innovation to build a more sustainable future.

Join the Club

Stay updated with our latest tips and other news by joining our newsletter.

3 responses

  1. Wow i stumbled upon this after a comment you made on another post. I am so sorry your family has gone through all of this.

    Like

    1. Thank you for your compassion, Angel! It is an unfortunate situation for sure.

      Like

  2. […] I mentioned in the blog post, I Advocated For My Child’s Rights in NYC School. And Then CPS Was Used As A Weapon, I requested my son’s special educational records from the Committee on Special Education through […]

    Like

Leave a comment